Laporan Praktikum Genetika: Alel Ganda

BAB 1
PENDAHULUAN

I.1 Latar Belakang
    Alel merupakan versi alternatif dari suatu gen. Setiap gen merupakan sekuens nukleotida pada tempat yang spesifik, atau lokus di sepanjang kromosom tertentu. Akan tetapi, DNA di lokus tersebut bisa memiliki sedikit perbedaan sekuens nukleotida dan kandungan informasinya. Alel dapat menunjukkan derajat dominansi dan keresesifan yang berbeda-beda satu sama lain. Namun alel tidak disebut dominan karena ia menundukkan alel resesif. Ketika alel dominan ada bersama dengan alel resesif dalam heterozigot, kedua alel itu sebenarnya tidak berinteraksi sama sekali (Campbell, dkk., 2017).
    Pengekspresian alel ganda dapat bersifat kodominan. Hal tersebut dapat dilihat pada pewarisan golongan darah sistem AB0 pada manusia. Gen IA dan IB masing-masing menyebabkan terbentuknya antigen A dan antigen B di dalam eritrosit individu yang memilikinya. Pada individu dengan golongan darah AB (bergenotip IAIB) akan terdapat baik antigen A maupun antigen B di dalam eritrositnya. Artinya, gen IA dan IB sama-sama diekspresikan pada individu heterozigot tersebut. Meskipun demikian, pada individu diploid, yaitu individu yang tiap kromosomnya terdiri atas sepasang kromosom homolog, betapa pun banyaknya alel yang ada pada suatu lokus, yang muncul hanyalaj sepasang atau dua buah saja (Susanto, 2011).
    Berdasarkan penjabaran di atas, maka perlu dilakukan sebuah praktikum untuk mengetahui bagaimana penetapan golongan darah serta fekuensi alelnya pada masing-masing individu dalam populasi kelas.
I.2 Tujuan Percobaan
Adapun tujuan dari percobaan lalat buah adalah sebagai berikut:
  1. Menetapkan golongan darah masing-masing individu dalam populasi kelas.
  2. Memahami pola pewarisan alel ganda, khususnya golongan darah manusia.
  3. Menghitung frekuensi alel IA, IB, dan i dalam populasi kelas.
I.3 Waktu dan Tempat Percobaan
    Adapun percobaan ini dilaksanakan pada hari --- pukul 14.00 – 17.00 WITA bertempat di Laboratorium Genetika, Fakultas Matematika dan Ilmu Pengetahuan Alam, Universitas Hasanuddin, Makassar.

BAB II
TINJAUAN PUSTAKA

II.1 Tinjauan Umum
    Sejak ditemukannya adanya golongan darah pada manusia oleh Karl Lansteiner tahun 1900 serta berkembangnya ilmu seperti imunologi, genetika dan biokimia, dilaporan adanya paling sedikit 100 antigen pada sel darah merah yang dapat beraksi dengan antisera spesifik dalam penentuan golongan darah. Lima belas di antaranya ialah ABO, MNSs, P.Rh, Lutheran, Kell, Lewil, Duffy, Kidd, Diego, Yt, Xg, Il, Dombrock, dan Colton yang banyak ditemukan pada orang Eropa (Farida, dkk., 1993).
    Golongan darah diwariskan dari orang tua kepada keturunannya, ini berarti golongan darah seseorang itu ditentukan alel tertentu. Golongan darah menurut sistem ABO dapat diwariskan dari orang tua kepada anaknya, Land-Steiner membedakan darah manusia ke dalam empat golongan yaitu A, B, AB, dan O. Penggolongan darah ini disebabkan oleh macam antigen yang dikandung oleh eritrosit (sel darah merah), Adanya antigen di dalam eritrosit ditentukan oleh suatu seri alel ganda yaitu IA, IB, dan I0. Populasi penduduk hampir seluruh dunia memiliki ketiga buah alel tersebut, meskipun penyebaran alehnya berbeda-beda (Darmawati, dkk., 2005).
    Darah merupakan cairan yang bersirkulasi dalam tubuh manusia dan vertebrata yang berfungsi untuk mengirimkan zat-zat dan oksigen yang dibutuhkan oleh jaringan tubuh serta mengangkut bahan-bahan kimia hasil metabolisme. Selain itu darah juga berfungsi untuk pertahanan tubuh terhadap virus atau bakteri. Dalam dunia kedokteran golongan darah manusia dibagi menjadi empat, yaitu A, B, AB, dan O. Pembagian ini dilakukan karena adanya perbedaan jenis karbohidrat dan protein pada permukaan membran sel darah merah (Melati, dkk., 2011).
    Secara manual, pengenalan golongan darah dilakukan dengan cara mengambil dua tetes darah yang akan diindetifikasi. Darah tersebut akan diletakkan di atas sebuah preparat atau objek gelas dan dibagi dalam 2 bagian. Masing-masing bagian darah akan ditetesi serum anti A dan anti B. Setelah di campur, akan dilakukan pengamatan secara langsung dengan mata telanjang terhadap reaksi yang terjadi pada kedua sampel darah yang telah ditetesi oleh serum (Fitryadi dan Sutikno, 2016)
    Golongan darah juga bukan hanya berfungsi untuk membedakan identitas seseorang. Tetapi pemeriksaan golongan darah mempunyai berbagai manfaat dan mempersingkat waktu dalam identifikasi, seperti transfusi darah, donor darah, identifikasi pada kasus kedokteran forensik serta identifikasi pada beberapa kasus kriminal. Selain itu, golongan darah dapat dimanfaatkan sebagai alternatif pemecahan masalah dalam mengatasi kondisi obesitas (Maritalia, 2017).
    Walaupun begitu, golongan darah individu tidak selamanya bergantung pada golongan darah induknya. Frekuensi gen pada suatu populasi dapat berubah apabila terdapat evolutionary forces, yaitu faktor-faktor yang berperan dalam mengubah frekuensi alel dan genotip, antara lain mutasi, migrasi, perkawinan tidak acak, genetic drift, dan seleksi alam. Analisis data genetika populasi dilakukan dengan menggunakan formula Hukum Hardy-Weinberg sebagai berikut (Khoiriyah, 2014):

p + q + r = 1
p2 + 2pq + q2 + 2pr + 2qr + r2 = 1..................................(2.1)

di mana,
p = frekuensi alel A
q = frekuensi alel B
r = frekuensi alel O
p2 = frekuensi genotip tipe golongan
2pr = darah A homozigot
2pq = frekuensi genotip tipe golongan
q2 = darah A heterozigot
2qr = frekuensi genotip tipe golongan
r2 = darah AB

II.2 Alel Ganda
    Alel merupakan bentuk alternatif suatu gen yang terdapat pada lokus atau tempat tertentu. Individu dengan genotipe AA dikatakan mempunyai alel A, sedangkan individu aa mempunyai alel a. Demikian pula individu Aa memiliki dua macam alel, yaitu A dan a. Jadi, lokus A dapat ditempati oleh sepasang atau dua buah alel, yaitu AA, Aa dan aa. Namun sebenarnya lebih umum dijumpai adalah bahwa pada suatu lokus tertentu, dimungkinkan munculnya lebih dari hanya dua macam alel, sehingga lokus tersebut dikatakan memiliki sederetan alel. Fenomena semacam ini disebut sebagai alel ganda (multiple alleles).
    Meskipun demikian, pada individu diploid, yaitu individu yang tiap kromosomnya terdiri atas sepasang kromosom homolog, betapa pun banyaknya alel yang ada suatu lokus, yang muncul hanyalah sepasang (dua buah) saja. Misalnya, ketika pada lokus X terdapat alel X1, X2, X3, X4, dan X5, maka genotipe individu diploid yang mungkin akan muncl antara lain X1X1, X1X2, X1X3, X1X4, dan seterusnya. Secara matematika, hubungan antara banyaknya anggota alel ganda dan banyaknya macam genotipe individu diploid dapat diformulasikan sebagai berikut (Susanto, 2011):

II.3 Sistem Penggolongan Darah ABO
    Dalam proses pengujian sampel darah menggunakan metode ABO, sampel darah akan diteteskan suatu reagen. Setelah ditetesi reagen, makan pada sampel darah akan terjadi proses aglutinasi atau penggumpalan darah. Darah memiliki antigen dan antibodi, di mana setiap masing-masing antigen dan antibodi terdiri dari A dan B, untuk lebih jelas melihat karakteristik golongan darah berdasarkan antigen dan antibodi dapat dilihat pada tabel berikut (Melati, dkk., 2011):
antigen, antibodi
Gambar 1.
Karakteristik Sistem Penggolongan Darah ABO (Melati, dkk., 2011)
    Dari tabel tersebut, dapat diketahui bahwa orang yang memiliki antigen-A tidak memiliki anti-A, melainkan anti-B. orang yang memiliki antigen-B memiliki anti-A. Jika antigen-A bertemu dengan anti-A, demikian pula antigen-B bertemu denga anti-B, sel-sel darah merah akan menggumpal (beraglutinasi) dan mengakibatkan kematian. Orang yang tidak memiliki antigen-A maupun antigen-B dalam eritrositnya dinyatakan bergolongan darah O dan serum darahnya mengandung anti-A dan anti-B. sebaliknya, bila serum darah tidak mengandung antibodi sama sekali, maka eritrosit mengandung antigen-A dan antigen-B. prang demikian dinyatakan termasuk golongan AB (Suryo, 2008).
    Reagen antisera merupakan reagen yang digunakan untuk pemeriksaan golongan darah ABO. Misalnya pada golongan darah A ketika ditambahkan reagen antisera A, reagen antisera B, dan reagen antisera AB, maka terjadi aglutinasi pada darah yang ditetesi reagen antisera B dan AB, sedangkan pada reagen antisera AB tidak terbentuk aglutinasi. Dari segi reagen metode ini kurang ekonomis, maka serum dapat dijadikan sebagai reagen pada pemeriksaan golongan darah ABO. Serum merupakan cairan darah yang berwarna kuning. Di dalam serum terdapat dua protein, yaitu albumin dan globullin. Antibodi berada di dalam serum dikarenakan antibodi golongan darah merupakan protein globulin, yang bertanggung jawab sebagai kekebalan tubuh alamiah untuk melawan antigen asing. Komposisi serum sama dengan plasma yaitu 91% air, 8% protein, dan 0,9% mineral. Akan tetapi didalam serum tidak ada faktor pembekuan (fibrinogen). Dikarenakan serum tidak diberi anti koagulan, fibrinogen dapat diubah menjadi benang-benang fibrin sehingga terjadi pembekuan darah. Dimana antikoagulan ini mengikat kalsium sebagai faktor pembekuan sehingga fibrinogen tidak di ubah menjadi benang-benang fibrin (Oktari dan Silvia, 2016). 
    Antigen golongan darah M dan N dibawa oleh glikoforin A (GPA) dan B (GPB) oleh membran eritrosit. GPA mengekspresikan antigen golongan darah M atau N tergantung pada gen alel (gen GPAm atau gen GPAn), sementara GPB hanya mengekspresikan antigen N. Aglutinogen M dan N diwariskan oleh sepasang gen allelomorphic. Selain itu, alel M dan N bersifat kodominan satu sama lain. Hal inilah yang menentukan frekuensi alel dari alel M dan N dalam beberapa kasus tertentu. Telah banyak studi tentang genetika manusia yang telah menggunakan sistem MN karena sistem tersebut dapat membedakan MN dari MM dan NN (Guzman, dkk., 2010).

II.4 Penggolongan Darah Sistem MNSn dan Rhesus
            Tabel II.1 Golongan Darah Sistem MN (Susanto, 2011)

Genotipe

Fenotipe

Anti M

Anti N

IMIM

M

+

-

IMIN

MN

+

+

ININ

N

-

+


    Adapula sistem penggolongan darah Rh (rhesus) oleh Karl Landsteiner dan A.S. Wiener pada tahun 1940. Mereka menermukan antibodi dari kelinci yang diimunisasi dengan darah seekor kera Macaca rhesus. Antibodi yang dihahasilkan oleh kelinci tersebut ternyata tidak hanya menggumpalkan eritrosit kera donor, tetapi juga eritrosit sebagian besar orang kulit putih di New York. Individu yang memperlihatkan reaksi antigen-antibodi ini disebut Rh positif (Rh+), sedang yang tidak disebut Rh negatif (Rh-).
    Menurut hipotesis poligen, ada tiga loki yang mengatur sistem Rh. Oleh karena masing-masing lokus mempunyai sepasang alel, maka ada enam alel yang mengatur sistem Rh, yaitu C, c D, d, E, dan e. Kecuali d, tiap alel ini menentukan adanya antigen tertentu pada eritrosit, yang diberi nama sesuai dengan alel yang mengaturnya. Jadi, ada antigen C, c, D, E, dan e. Dari lokus C dapat diperoleh tiga macam fenotipe, yaitu CC (menghasilkan antigen C), Cc (menghasilkan antigen C dan c), serta cc (menghasilkan antigen c). Begitu juga dari lokus E akan diperoleh tiga macam fenotipe, yaitu EE, Ee, dan ee. Akan tetapi, dari lokus D hanya dimungkinkan adanya dua macam fenotipe, yaitu D- (menghasilkan antigen D) dan dd (tidak menghasilkan antigen D). Fenotipe D- dan dd inilah yang masing-masing menentukan suatu individu akan dikatakan sebagai Rh+ dan Rh–. Secara keseluruhan kombinasi alel pada ketiga loki tersebut dapat memberikan 18 macam fenotipe (sembilan Rh+ dan sembilan Rh–).
    Bertemunya antibodi Rh (anti D) yang dimiliki oleh seorang wanita dengan janin yang sedang dikandungnya dapat mengakibatkan suatu gangguan darah yang serius pada janin tersebut. Hal ini dimungkinkan terjadi karena antibodi Rh (anti D) pada ibu tadi dapat begerak melintasi plasenta dan menyerang eritrosit janin. Berbeda dengan antibodi anti A atau anti B, yang biasanya sulit untuk menembus halangan plasenta, antibodi Rh mudah melakukannya karena ukuran molekulnya relatif kecil (Susanto, 2011).

II.5 Genetika Populasi
    Genetika populasi adalah salah satu cabang ilmu genetika yang mempelajari variasi genetik dalam suatu populasi. Cabang ilmu genetika ini banyak diaplikasikan dalam berbagai bidang, khususnya kesehatan, pemuliaan, dan konservasi. Genetika populasi mengenali arti penting dari sifat kuantitatif, karena cara menentukan penyebaran alel tersebut dilakukan secara matematis. Salah satu saja frekuensi dari suatu gen diketahui dapat digunakan untuk memprediksi frekuensi gen yang lain. Hal tersebut dapat diaplikasikan dalam mendiagnosa penyakit genetik. Frekuensi gen pada suatu populasi dapat berubah apabila terdapat evolutionary forces, yaitu faktor-faktor yang berperan dalam mengubah frekuensi alel dan genotip, antara lain mutasi, migrasi, perkawinan tidak acak, genetic drift dan seleksi alam (Khoiriyah, 2014).

BAB III
METODE PERCOBAAN

III.1 Alat dan Bahan
III.1.1 Alat
    Alat-alat yang digunakan dalam percobaan adalah lancet, autoclick, objek gelas, pipet tetes, dan alat tulis menulis.
III.1.2 Bahan
    Bahan-bahan yang digunakan dalam percobaan adalah serum, anti-A dan anti-B, kapas antiseptik, dan darah masing-masing.
III.2 Prosedur Kerja
Adapun prosedur kerja percobaan ini adalah sebagai berikut:
  1. Diberikan kapas antiseptik pada jari manis, kemudian jari ditusuk dengan menggunakan lancet dan autoclick.
  2. Objek gelas ditetesi oleh darah.
  3. Darah ditetesi serum antigen A dan antigen B untuk kemudian diamati perubahan yang terjadi.
  4. Dicatat hasil yang diperoleh.

BAB IV
HASIL DAN PEMBAHASAN

IV.1 Hasil
IV.1.1 Tabel Golongan Darah

No.

Nama

Golongan Darah

A

B

AB

O

1.

.

 

 

 

2.

.

 

 

 

3.

.

 

 

 

4.

.

 

 

 

5.

.

 

 

 

6.

.

 

 

 

7.

.

 

 

 

8.

.

 

 

 

9.

.

 

 

 

10.

.

 

 

 

11.

.

 

 

 

12.

.

 

 

 

13.

.

 

 

 

14.

.

 

 

 

15.

.

 

 

 

16.

.

 

 

 

17.

.

 

 

 

18.

.

 

 

 

19.

.

 

 

 

20.

.

 

 

 

21.

.

 

 

 

22.

.

 

 

 

23.

.

 

 

 

24.

.

 

 

 

25.

.

 

 

 

26.

.

 

 

 

27.

.

 

 

 

28.

.

 

 

 

29.

.

 

 

 

30.

.

 

 

 

31.

.

 

 

 

32.

.

 

 

 

33.

.

 

 

 

34.

.

 

 

 

35.

.

 

 

 

36.

.

 

 

 

37.

.

 

 

 

38.

.

 

 

 

Total

13

10

2

13


II.1.2 Analisis Data Frekuensi Alel IA, IB, dan i
Rumus Hukum Hardy-Weinberg:
A2 + 2AO + B2 + 2BO + 2AB + O2 = 1

a. Golongan Darah O
Jadi, diperoleh alel i adalah 0,58.
Jadi, diperoleh alel IA adalah 0,24.
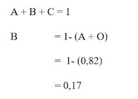
Jadi, diperoleh alel IB adalah 0,17.

IV.1.3 Persentase Golongan Darah
Golongan darah A
A Homozigot (A2)
= (0,24)2
= 0,0576 x 100%
= 5,76%
Jadi, persentasenya adalah 5,76%.

A Heterozigot (2AO)
= 2 x 0,24 x 0,58
= 0,2784 x 100%
= 27,84%
Jadi, persentasenya adalah 27,84%.

Golongan darah B
B Homozigot (B2)
= (0,17)2
= 0,0289 x 100%
= 2,89%
Jadi, persentasenya adalah 2,89%.

B Heterozigot (2BO)
= 2 x 0,17 x 0,58
= 0,1972 x 100%
= 19,72%
Jadi, persentasenya adalah 19,72%.

Golongan darah AB = 2AB
= 2 x 0,24 x 0,17
= 0,0816 x 100%
= 8,16%
Jadi, persentasenya adalah 8,16%.

Golongan Darah O = O2
= (0,58)2
= 0,3364 x 100%
= 33,64%
Jadi, persentasenya adalah 33,64%.

IV.2 Pembahasan
    Alel merupakan gen-gen yang menempati lokus yang sama pada kromosom homolognya. Namun tiap gen dalam alel memiliki peran yang berbeda untuk suatu sifat tertentu. Adapun suatu alel dikatakan alel ganda apabila gen tersebut memiliki lebih dari dua pasangan gen yang sealel sehingga muncullah beberapa sifat. Contoh alel ganda adalah pada golongan darah.
    Tujuan yang ingin dicapai dalam percobaan ini antara lainenetapkan golongan darah masing-masing individu dalam populasi kelas, memahami pola pewarisan alel ganda, khususnya golongan darah manusia serta menghitung frekuensi alel IA, IB dan i dalam populasi kelas. Dalam percobaan, tiap praktikan menguji darah masing-masing dengan melihat perubahan yang terjadi sebagai hasil reaksi darah dengan serum anti-A dan anti-B. Maka diperoleh data di mana dari 38 praktikan, yang memiliki golongan darah A ialah sebanyak 13 orang, golongan darah B sebanyak 10 orang, golongan darah AB sebanyak 2 orang dan golongan darah O sebanyak 13 orang. Dari analisis data frekuensi alel IA, IB dan i, diperoleh nilai secara berturut-turut adalah 0,24, 0,71 dan 0,58. Sementara untuk persentase golongan darah A homozigot adalah 5,76 %, A heterozigot adalah 27,84 %, golongan darah B homozigot adalah 2,89 %, B heterozigot adalah 19,72%, golongan darah AB adalah 8,16 % dan golongan darah O adalah 3,64 %.
    Dari hasil data, tampak bahwa golongan darah mayoritas adalah golongan darah A dan golongan darah O. Sementara golongan darah AB merupakan golongan darah minoritas AB. Jika melihat pada persentase golongan darah, maka golongan darah dengan persentase terbesar adalah golongan darah A heterozigot atau AO.
    Menurut Raditya (2016), golongan darah O merupakan golongan darah yang paling sering dijumpai karena golongan darah O merupakan golongan darah resesif. Adapun untuk golongan darah A, menurut Amroni (2016) dalam jurnalnya yang berjudul “Penerapan Rule Base Expert System untuk Mengetahui Hasil Perkawinan Antar Golongan Darah”, antigen A lebih umum ditemukan daripada antigen B sehingga golongan darah A lebih sering dijumpai daripada golongan darah B. Sementara adanya golongan darah AB sebagai golongan darah minoritas disebabkan karena AB membutuhkan dua antigen, yakni antigen A dan antigen B.

BAB V
PENUTUP

V.1 Kesimpulan
Adapun kesimpulan yang didapatkan dari percobaan yang telah dilakukan adalah sebagai berikut:
  1. Setelah melakukan uji serum, diperoleh bahwa yang memiliki golongan darah A ialah sebanyak 13 orang, golongan darah B ialah 10 orang, golongan darah AB ialah 2 orang dan golongan darah O ialah 13 orang.
  2. Penggolongan darah A, B, AB, dan O didasarkan pada jenis antigen dalam eritrosit. Interaksi IAIA memunculkan golongan darah A, IBIB memunculkan golongan darah B, IOIO memunculkan golongan darah O sementara IAIB sama-sama bersifat dominan sehingga memunculkan golongan darah AB ketika berinteraksi. Sementara itu, karena IA bersifat dominan terhadap IO, mereka akan menghasilkan golongan darah A, begitupula jika IB berinteraksi dengan IO, yang muncul adalah golongan darah B yang bersifat dominan.
  3. Diperoleh frekuensi alel IA adalah 0,24, IB adalah 0,71 dan i adalah 0,58.
V.2 Saran
V.2.1 Saran untuk Laboratorium
Sebaiknya dilakukan pengadaan evaluasi fasilitas laboratorium.
V.2.2 Saran untuk Asisten
Kinerja asisten telah baik maka sebaiknya dapat dipertahankan.
V.2.3 Saran untuk Praktikan
Sebaiknya praktikan dapat lebih berhati-hati dalam beraktivitas dengan menggunakan peralatan berbahan kaca.

DAFTAR PUSTAKA


Amroni, 2016. Penerapan Rule Base Expert System untuk Mengetahui Hasil Perkawinan Antar Golongan Darah. Jurnal Ilmiah Media SISFO. Vol. 10(2): 666-675.

Campbell, N.A., J.B. Reece, L.A. Urry, M.L. Cain, S.A. Wasserman, P.V. Minorsky, dan R.B. Jackson, 2017. Biology Eleventh Edition. Pearson Education Inc., New York. 

Darmawati, E. Suryawati, dan E. Suhendri, 2005. Frekuensi dan Penyebaran Alel Golongan Darah ABO Siswa SMUN 1 Suku Bangsa Melayu di Kecamatan Rupat Kabupaten Bengkalis Riau. Jurnal Biogenesis. Vol. 1(2): 66-69.

Farida, R., N.G. Suryadhana, dan F. Gultom, 1993. Penentuan Golongan Darah Sistem ABO Melalui Saliva Mahasiswa Fakultas Kedokteran Gigi U.I.. Jurnal Kedokteran Gigi, Universitas Indonesia. Vol. 1(1): 10-14. 

Fitriyadi, K. dan Sutikno, 2016. Pengenalan Jenis Golongan Darah Menggunakan Jaringan Syaraf Tiruan Perceptron. Jurnal Masyarakat Informatika. Vol. 7(1): 1-10.

Guzman, R.M.S., R.N.R. Gervasio, I.K.C. Fontanilla, dan E.P. Cao, 2010. Frequency Distribution of Blood Groups ABO, MN and Rh Factor in Philippine Cosmopolitan, Regional and the National Populations. Science Diliman. Vol. 21(2): 43-49.

Khoiriyah, Y.N., 2014. Karakter Genetik Populasi Bedeng 61B Desa Wonokarto Kabupaten Lampung Timur Pasca Program Kolonisasi Pemerintah Belanda. Jurnal Biogenesis. Vol. 2(2): 132-137.

Maritalia, D., 2017. Prevalensi Golongan Darah ABO Anak dengan Golongan Darah ABO Orang Tua. Variasi: Majalah Ilmiah Universitas Almuslim.Vol. 9(1): 17-19.

Melati, E., R. Passarella, R. Primartha, dan A. Murdiansyah, 2011. Desain dan Pembuatan Alat Pendeteksi Golongan Darah Menggunakan Mikrokontoler. Jurnal Generic. Vol. 6(2): 48-54.

Oktari, A. dan N.D. Silvia, 2016. Pemeriksaan Golongan Darah Sistem ABO Metode Slide dengan Reagen Serum Golongan Darah A, B, O. Jurnal Teknologi Laboratorium. Vol. 5(2): 49-54.

Raditya, A., 2016. Distribusi Golongan Darah AB0 pada Masyarakat Tengger. Jurnal AntroUnaidoNet. Vol. 5(3): 411-421).

Suryo, 2008. Genetika Manusia. Gadjah Mada University Press, Yogyakarta.

Susanto, A.H., 2011. Genetika. Graha Ilmu, Yogyakarta.




Tidak untuk disalin! 
Artikel ini dibagikan untuk memberi contoh dan menginspirasi:)

0 Comment:

Post a Comment

/>